국내 연구팀이 인공지능을 바탕으로 최적의 치료제 용량을 예측하는 모델을 개발했다.
이번 연구는 소아청소년 갑상선 기능 항진증 치료에서 데이터 기반의 인공지능 약물 용량 추천 모델을 세계 최초로 개발하고 유효성을 다기관 검증했다는 점에서 학술적 의의가 크다.
특히 성인과 달리 약물의 대사와 효과가 매우 가변적인 소아청소년 환자군에서 약물 투여 정밀도를 돕는 인공지능 모델의 가능성을 제시하여, 소아 분야 정밀의료의 새로운 흐름을 열 것으로 기대를 모으고 있다.
연세의대 강남세브란스병원 소아청소년과 송경철, 김준영 교수와 가톨릭의대 의료정보학교실 고태훈 교수, 이강혁 박사 연구팀이 최근 소아청소년 갑상선 기능 항진증 환자에게 사용하는 치료제 ‘메티마졸’의 최적 용량을 예측하는 인공지능 기반 모델을 성공적으로 개발하고 유효성을 검증했다.
연구팀은 강남세브란스병원, 용인세브란스병원, 건양대학교병원 등 3개 기관의 소아청소년 환자 데이터 총 2,209건을 분석했다.

(사진: 강남세브란스병원 소아청소년과 송경철, 김준영 교수, 가톨릭의대 의료정보학교실 고태훈 교수, 이강혁 박사)
연구팀은 나이, 성별, 키, 체중 등 환자의 신체 계측 정보와 현재 및 직전 방문 시의 갑상선 기능 검사 결과, 과거 메티마졸 처방 용량 등의 변수를 활용하여 선형회귀, 의사결정나무, 서포트 벡터 회귀, XGBoost, 피드포워드 신경망 등 다양한 기계학습 모델을 훈련시켰다.
연구 결과, XGBoost 모델이 내부와 외부 검증에서 모두 가장 뛰어난 성능을 보였다.
특히 XGBoost 모델의 외부 데이터 검증에서는 경험 많은 전문의가 처방한 용량과 평균 1.08mg의 오차(Mean Absolute Error, MAE)만을 보였다.
이 수치는 최소 투약 단위인 메티마졸 한 알 용량인 5mg의 1/5 수준에 불과하다.
연구에 참여한 소아청소년 환자의 평균 메티마졸 용량이 약 8mg임을 고려할 때, 매우 낮은 오차율에 해당한다.
이는 인공지능 기반 모델의 높은 정확도를 시사하며, 임상 의사 결정 지원 도구로서 즉시 활용 가능한 수준으로 평가된다.

[표 : 다양한 기계학습 모델의 내부 검증과 외부 검증에 따른 평균 절대 오차(MAE) 값 비교. 특히 XGBoost 모델은 외부 검증에서 1.08mg을 기록해 경험 많은 전문의가 처방한 용량과 크게 다르지 않았다.]
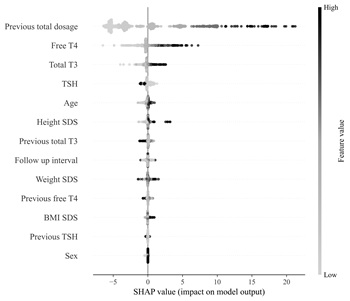
연구팀은 인공지능 기반 예측 모델의 투명성을 확보하기 위해 SHAP(SHapley Additive exPlanations) 분석 기법을 적용하여 모델 예측에 가장 큰 영향을 미치는 변수들을 시각화하고 정량화했다.
SHAP는 복잡한 인공지능이 특정 결과를 예측할 때, 어떤 데이터를 근거로 그런 판단을 내렸는지 각 요인의 기여도를 측정하여 설명해주는 기술이다.
모델 예측에 가장 큰 영향을 미치는 변수는 실제 임상 진료에서 중요하게 생각하는 변수인 ‘이전 처방 용량', ‘유리 T4 호르몬’, ‘혈중 T3 호르몬’ 순으로 나타나, 인공지능 모델이 실제 임상에서의 의사결정 과정을 효과적으로 학습했음을 확인했다.

(표 : 메티마졸 용량 예측의 기여 요인 분석 별 SHAP 값 종합 분포도.)
송경철 교수는 “지금까지 적정 메티마졸 용량은 의사의 섬세한 경험과 판단에 의존해왔다. 이번 연구는 진료실에서 쌓아온 귀중한 경험을 정량화하여, 의료진의 결정을 정확하고 빠르게 돕는 인공지능 모델의 가능성을 엿볼 수 있었다. 앞으로 모델을 고도화하여 환자 개개인의 특성에 맞는 최적의 맞춤 치료 전략을 수립할 수 있도록 노력하겠다”고 말했다.
이번 연구 결과는 국제학술지 ‘The Journal of Clinical Endocrinology & Metabolism’에 게재됐다.
한편 소아청소년기 갑상선 기능 항진증은 갑상선 호르몬이 과도하게 분비되어 대사 속도가 비정상적으로 증가하는 질환이다.
성장기 아동의 성장 장애 및 학업 수행력 저하 등 신체·정신적 문제를 유발하며, 심각할 경우 갑상선 중독 발작과 같은 위협적인 합병증을 초래할 수 있어 조기 진단과 치료가 매우 중요하다.
소아청소년 갑상선 항진증의 1차 치료제는 ‘메티마졸(Methimazole)’을 사용한다. 장기간 투여하므로 용량 오차가 발생하면 갑상선 기능 저하증을 비롯해 간독성, 백혈구 저하증 등 심각한 부작용의 위험이 있다.
따라서 정밀한 투약 용량 설정이 치료의 핵심이지만, 적정 약물 용량에 대한 객관적인 예측 수단이 부족해 의료진의 임상 경험에만 의존할 수밖에 없는 상황이다.
[메디컬월드뉴스 김영신 기자]